AMWG Variability Diagnostics for Daily Data


Intraseasonal Variability

Daily 200 hPa velocity potential anomalies computed and then averaged
over 5S-5N, 20-70 day bandpass filter then applied. Hovmöller plots.
Bandpass filter response plot

NFHISTfrc2_f09_mg17_20191107. Anomalies are relative to the 1990-2004 mean.
1990-1991
1992-1993
1994-1995
1996-1997
1998-1999
2000-2001
2002-2003

Anomalies computed relative to the time period mean.
NCEP Reanalysis CAM3 Amip (T85)
1981-1982 1981-1982
1983-1984 1983-1984
1985-1986 1985-1986
1987-1988 1987-1988
1989-1990 1989-1990
1991-1992 1991-1992
1993-1994 1993-1994
1995-1996
1997-1998
1999-2000

Madden-Julian Oscillation

Time series of daily 200 hPa zonal wind averaged over 10N-10S.
200 hPa zonal wind bandpass filtered for 20-100 day period.
MJO Index defined as the running variance of the bandpass filtered data.
NFHISTfrc2_f09_mg17_20191107
NCEP Reanalysis
CAM3 Amip (T85)

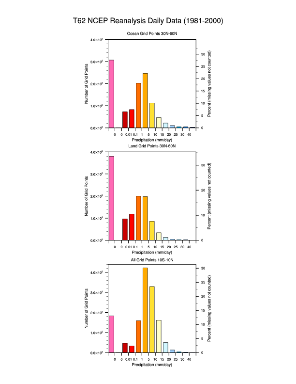
Histograms

Histograms of daily precipitation rate for the Tropics and NH Extratropics.
NFHISTfrc2_f09_mg17_20191107
NCEP Reanalysis
CAM3 Amip (T85)

EOF analysis

EOF analysis 30S to 30N (lat-lon map, time series)
PRECT summer NFHISTfrc2_f09_mg17_20191107 PRECT summer NFHISTfrc2_f09_mg17_20191107
PRECT summer TRMM PRECT summer TRMM
PRECT winter NFHISTfrc2_f09_mg17_20191107 PRECT winter NFHISTfrc2_f09_mg17_20191107
PRECT winter TRMM PRECT winter TRMM
FLUT summer NFHISTfrc2_f09_mg17_20191107 FLUT summer NFHISTfrc2_f09_mg17_20191107
FLUT summer ERA FLUT summer ERA
FLUT winter NFHISTfrc2_f09_mg17_20191107 FLUT winter NFHISTfrc2_f09_mg17_20191107
FLUT winter ERA FLUT winter ERA
U850 summer NFHISTfrc2_f09_mg17_20191107 U850 summer NFHISTfrc2_f09_mg17_20191107
U850 summer ERA U850 summer ERA
U850 winter NFHISTfrc2_f09_mg17_20191107 U850 winter NFHISTfrc2_f09_mg17_20191107
U850 winter ERA U850 winter ERA
U200 summer NFHISTfrc2_f09_mg17_20191107 U200 summer NFHISTfrc2_f09_mg17_20191107
U200 summer ERA U200 summer ERA
U200 winter NFHISTfrc2_f09_mg17_20191107 U200 winter NFHISTfrc2_f09_mg17_20191107
U200 winter ERA U200 winter ERA
V200 summer NFHISTfrc2_f09_mg17_20191107 V200 summer NFHISTfrc2_f09_mg17_20191107
V200 summer ERA V200 summer ERA
V200 winter NFHISTfrc2_f09_mg17_20191107 V200 winter NFHISTfrc2_f09_mg17_20191107
V200 winter ERA V200 winter ERA

lag-cross-correlations

The climatological cross correlation plots (NFHISTfrc2_f09_mg17_20191107 vs obs)
lag lat lon summer NFHISTfrc2_f09_mg17_20191107 lag lat lon summer ERA
lag lat lon winter NFHISTfrc2_f09_mg17_20191107 lag lat lon winter ERA
lag lat lon annual NFHISTfrc2_f09_mg17_20191107 lag lat lon annual ERA

wavenumber - frequency spectra

The wavenumber - frequency spectra plots (NFHISTfrc2_f09_mg17_20191107 vs obs)
PRECT summer NFHISTfrc2_f09_mg17_20191107 PRECT summer TRMM
PRECT winter NFHISTfrc2_f09_mg17_20191107 PRECT winter TRMM
FLUT summer NFHISTfrc2_f09_mg17_20191107 FLUT summer ERA
FLUT winter NFHISTfrc2_f09_mg17_20191107 FLUT winter ERA
U850 summer NFHISTfrc2_f09_mg17_20191107 U850 summer ERA
U850 winter NFHISTfrc2_f09_mg17_20191107 U850 winter ERA
V850 summer NFHISTfrc2_f09_mg17_20191107 V850 summer ERA
V850 winter NFHISTfrc2_f09_mg17_20191107 V850 winter ERA
U200 summer NFHISTfrc2_f09_mg17_20191107 U200 summer ERA
U200 winter NFHISTfrc2_f09_mg17_20191107 U200 winter ERA
V200 summer NFHISTfrc2_f09_mg17_20191107 V200 summer ERA
V200 winter NFHISTfrc2_f09_mg17_20191107 V200 winter ERA

composite life cycles

The composite life cycles (NFHISTfrc2_f09_mg17_20191107 vs obs)
summer NFHISTfrc2_f09_mg17_20191107 summer ERA
winter NFHISTfrc2_f09_mg17_20191107 winter ERA