AMWG Variability Diagnostics for Daily Data


Intraseasonal Variability

Daily 200 hPa velocity potential anomalies computed and then averaged
over 5S-5N, 20-70 day bandpass filter then applied. Hovmöller plots.
Bandpass filter response plot

NF19cnt. Anomalies are relative to the 0002-0006 mean.
2-3
4-5

Anomalies computed relative to the time period mean.
NCEP Reanalysis CAM3 Amip (T85)
1981-1982 1981-1982
1983-1984 1983-1984
1985-1986 1985-1986
1987-1988 1987-1988
1989-1990 1989-1990
1991-1992 1991-1992
1993-1994 1993-1994
1995-1996
1997-1998
1999-2000

Madden-Julian Oscillation

Time series of daily 200 hPa zonal wind averaged over 10N-10S.
200 hPa zonal wind bandpass filtered for 20-100 day period.
MJO Index defined as the running variance of the bandpass filtered data.
NF19cnt
NCEP Reanalysis
CAM3 Amip (T85)

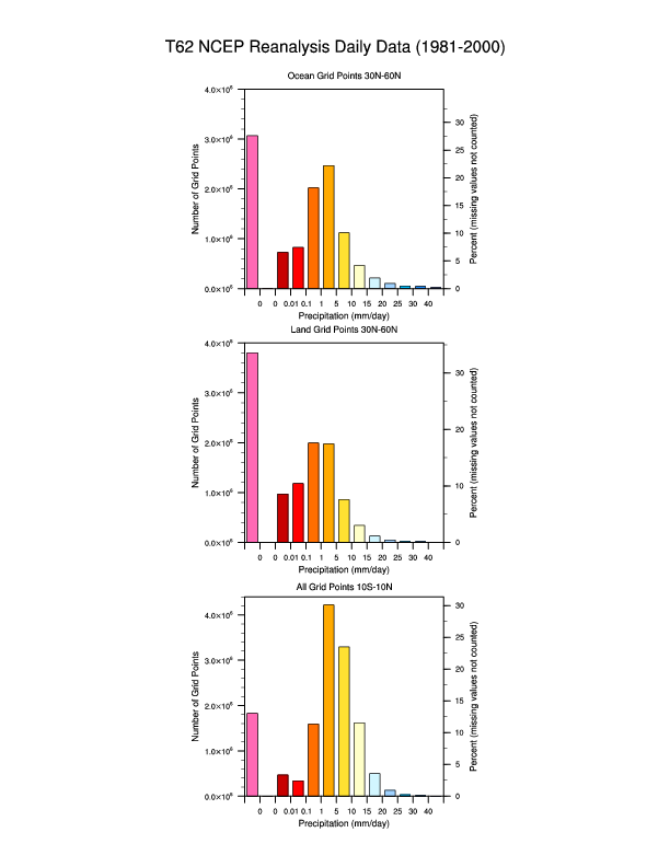
Histograms

Histograms of daily precipitation rate for the Tropics and NH Extratropics.
NF19cnt
NCEP Reanalysis
CAM3 Amip (T85)

EOF analysis

EOF analysis 30S to 30N (lat-lon map, time series)
PRECT summer NF19cnt PRECT summer NF19cnt
PRECT summer TRMM PRECT summer TRMM
PRECT winter NF19cnt PRECT winter NF19cnt
PRECT winter TRMM PRECT winter TRMM
FLUT summer NF19cnt FLUT summer NF19cnt
FLUT summer ERA FLUT summer ERA
FLUT winter NF19cnt FLUT winter NF19cnt
FLUT winter ERA FLUT winter ERA
U850 summer NF19cnt U850 summer NF19cnt
U850 summer ERA U850 summer ERA
U850 winter NF19cnt U850 winter NF19cnt
U850 winter ERA U850 winter ERA
U200 summer NF19cnt U200 summer NF19cnt
U200 summer ERA U200 summer ERA
U200 winter NF19cnt U200 winter NF19cnt
U200 winter ERA U200 winter ERA
V200 summer NF19cnt V200 summer NF19cnt
V200 summer ERA V200 summer ERA
V200 winter NF19cnt V200 winter NF19cnt
V200 winter ERA V200 winter ERA

lag-cross-correlations

The climatological cross correlation plots (NF19cnt vs obs)
lag lat lon summer NF19cnt lag lat lon summer ERA
lag lat lon winter NF19cnt lag lat lon winter ERA
lag lat lon annual NF19cnt lag lat lon annual ERA

wavenumber - frequency spectra

The wavenumber - frequency spectra plots (NF19cnt vs obs)
PRECT summer NF19cnt PRECT summer TRMM
PRECT winter NF19cnt PRECT winter TRMM
FLUT summer NF19cnt FLUT summer ERA
FLUT winter NF19cnt FLUT winter ERA
U850 summer NF19cnt U850 summer ERA
U850 winter NF19cnt U850 winter ERA
V850 summer NF19cnt V850 summer ERA
V850 winter NF19cnt V850 winter ERA
U200 summer NF19cnt U200 summer ERA
U200 winter NF19cnt U200 winter ERA
V200 summer NF19cnt V200 summer ERA
V200 winter NF19cnt V200 winter ERA

composite life cycles

The composite life cycles (NF19cnt vs obs)
summer NF19cnt summer ERA
winter NF19cnt winter ERA