HAMOCC output for NOICPLHISTOC_test2, yrs1801to1890

HAMOCC Diagnostics Package, Thu May 2 22:57:32 CEST 2019

Time series plots

Global fluxes Global averages

Climatology plots

Horizontal fields
Dissolved oxygen (o2lvl) 0m 100m 500m 1000m 2000m 3000m 4000m
AOU (p_o2lvl-o2lvl) 0m 100m 500m 1000m 2000m 3000m 4000m
Silicate (silvl) 0m 100m 500m 1000m 2000m 3000m 4000m
Phosphate (po4lvl) 0m 100m 500m 1000m 2000m 3000m 4000m
Nitrate (no3lvl) 0m 100m 500m 1000m 2000m 3000m 4000m
DIC (dissiclvl) 0m 100m 500m 1000m 2000m 3000m 4000m
Alkalinity (talklvl) 0m 100m 500m 1000m 2000m 3000m 4000m
δ13C (delta13clvl)
(?) No observations for 0 and 100 m
0m 100m 500m 1000m 2000m 3000m 4000m
Primary productivity (pp) column-integrated (diagnosed offline)
Primary productivity (ppint) column-integrated (diagnosed online)
Export production (epc100) 100m
pCO2 (pco2) surface
CO2 flux (co2fxd-co2fxu) surface
DMS flux (dmsflux) surface

Zonal mean fields
Oxygen (o2lvl) Global Atlantic Pacific Indian Southern
AOU (p_o2lvl-o2lvl) Global Atlantic Pacific Indian Southern
Silicate (silvl) Global Atlantic Pacific Indian Southern
Phosphate (po4lvl) Global Atlantic Pacific Indian Southern
Nitrate (no3lvl) Global Atlantic Pacific Indian Southern
DIC (dissiclvl) Global Atlantic Pacific Indian Southern
Alkalinity (talklvl) Global Atlantic Pacific Indian Southern
δ13C (delta13clvl)
(?) No observations for 0 and 100 m
Global Atlantic Pacific Indian Southern

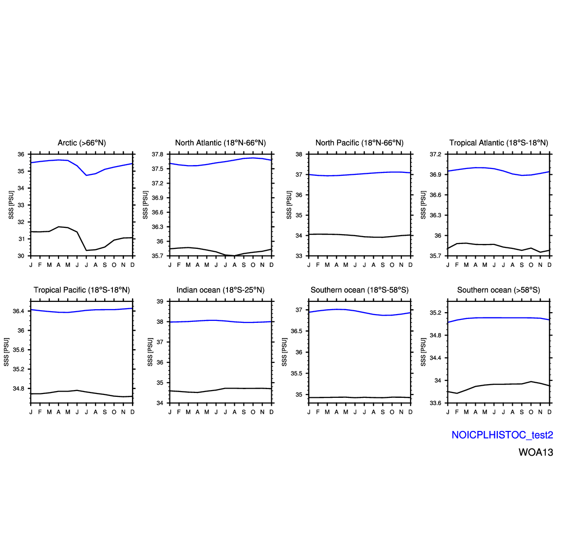
Regionally-averaged monthly climatologies [regions]
Column-integrated PP (pp)
Column-integrated PP (ppint)
pCO2 (pco2)
CO2 flux (co2fxd-co2fxu)
Surface oxygen (srfo2)
Surface silicate (srfsi)
Surface phosphate (srfpo4)
Surface nitrate (srfno3)
Surface temperature (sst)
Surface temperature (sss)
Mixed layer depth (mld)