Set List

F2000ERF
and
obs

Back to diagnostic sets

Set 3 Description: Line plots of monthly climatology: regional air temperature, precipitation, runoff, snow depth, radiative fluxes, and turbulent fluxes

Lookup Table: Set 3 Variable Definition


All Model Data Regions map
GPP
Latent Heat
Temp
Precip Energy/moisture
Runoff Radiative Turbulent Control of Snow Albedo
Map SnowDepth Fluxes Fluxes Evap vsObs vsObs Hydrology
HEMISPHERIC AND GLOBAL
Global Land map plot plot plot plot plot plot plot
Northern Hemisphere Land map plot plot plot plot plot plot plot
Southern Hemisphere Land map plot plot plot plot plot plot plot
POLAR
Alaskan Arctic map plot plot plot plot plot plot plot
Antarctica map plot plot plot plot plot plot plot
Canadian Arctic map plot plot plot plot plot plot plot
Greenland map plot plot plot plot plot plot plot
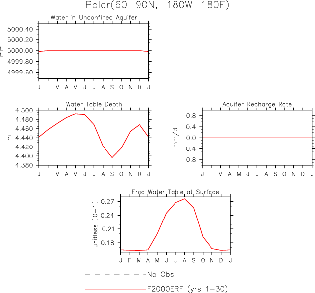
Polar map plot plot plot plot plot plot plot
Russian Arctic map plot plot plot plot plot plot plot
BOREAL
Alaska map plot plot plot plot plot plot plot
Central Canada map plot plot plot plot plot plot plot
Eastern Canada map plot plot plot plot plot plot plot
Eastern Siberia map plot plot plot plot plot plot plot
Northern Europe map plot plot plot plot plot plot plot
Northwest Canada map plot plot plot plot plot plot plot
Western Siberia map plot plot plot plot plot plot plot
MIDDLE LATITUDES
Central U.S. map plot plot plot plot plot plot plot
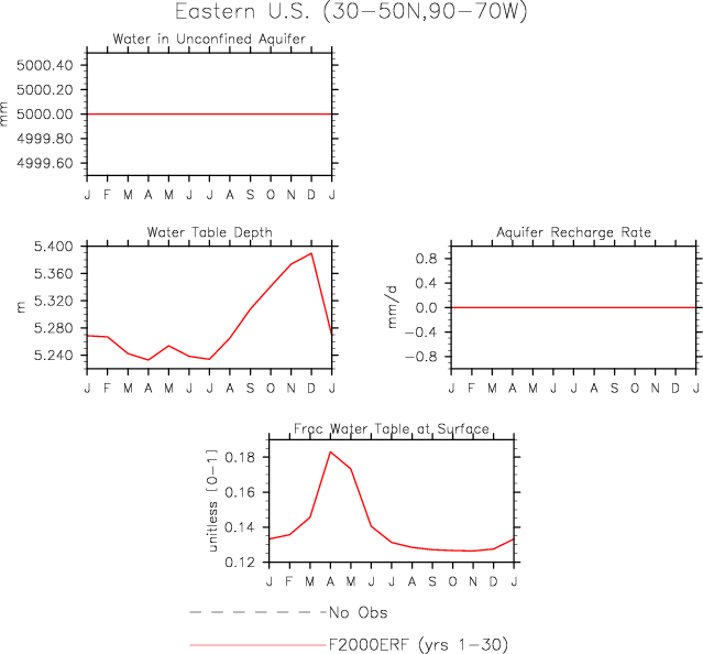
Eastern U.S. map plot plot plot plot plot plot plot
Europe map plot plot plot plot plot plot plot
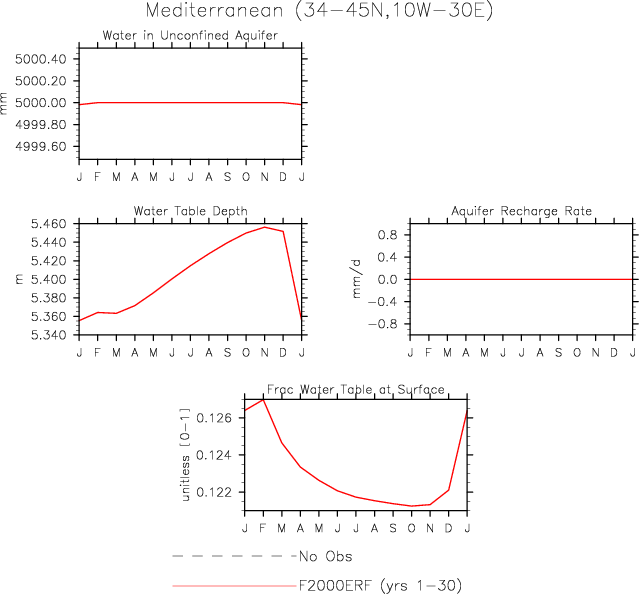
Mediterranean map plot plot plot plot plot plot plot
Western U.S. map plot plot plot plot plot plot plot
TROPICAL RAINFOREST
Amazonia map plot plot plot plot plot plot plot
Central Africa map plot plot plot plot plot plot plot
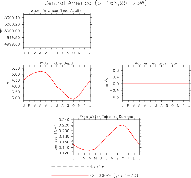
Central America map plot plot plot plot plot plot plot
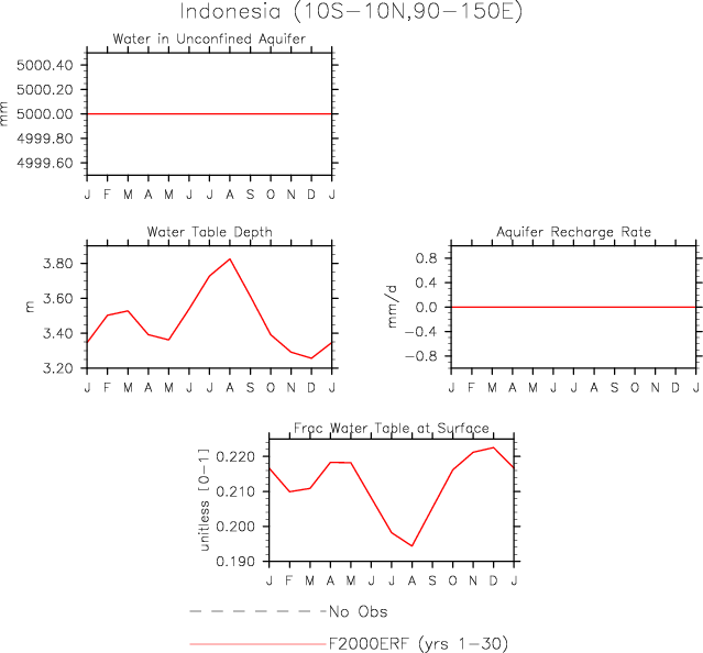
Indonesia map plot plot plot plot plot plot plot
TROPICAL SAVANNA
Brazil map plot plot plot plot plot plot plot
India map plot plot plot plot plot plot plot
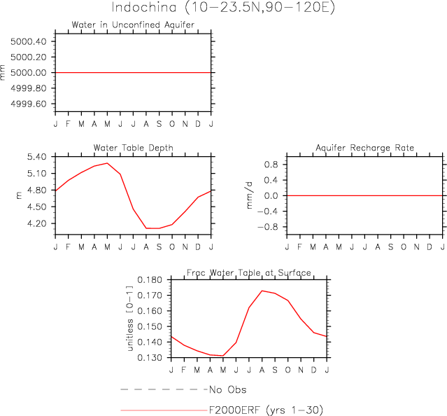
Indochina map plot plot plot plot plot plot plot
Sahel map plot plot plot plot plot plot plot
Southern Africa map plot plot plot plot plot plot plot
ARID
Arabian Peninsula map plot plot plot plot plot plot plot
Australia map plot plot plot plot plot plot plot
Central Asia map plot plot plot plot plot plot plot
Mongolia map plot plot plot plot plot plot plot
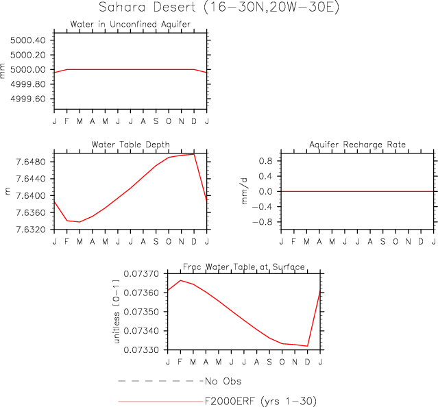
Sahara Desert map plot plot plot plot plot plot plot
Tigris_Euphrates map plot plot plot plot plot plot plot
HIGHLAND
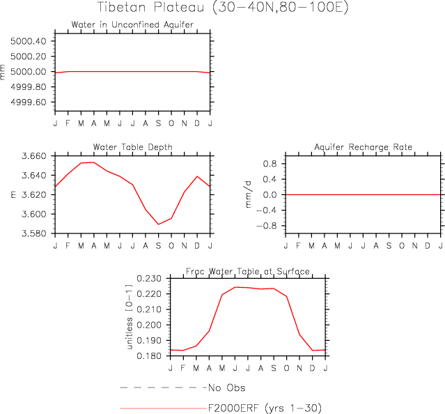
Tibetan Plateau map plot plot plot plot plot plot plot
ASIA
Central Asia map plot plot plot plot plot plot plot
Eastern China map plot plot plot plot plot plot plot
Mediterranean and Western Asia map plot plot plot plot plot plot plot
Central and Eastern Mongolia and NE China map plot plot plot plot plot plot plot
Sahara Desert and Arabian Peninsula map plot plot plot plot plot plot plot
Southern Asia map plot plot plot plot plot plot plot
Tibetan_Plateau map plot plot plot plot plot plot plot