Index of /datapeak/anu074/KeyCLIM/spectral

[ICO]NameLast modifiedSizeDescription

[PARENTDIR]Parent Directory  -  
[IMG]EPE_spectra_10-15year_slopes.png2021-01-29 15:05 344K 
[IMG]U_V_spectra_10-15year_slopes.png2021-02-10 20:11 877K 
[IMG]VT_CrossSpectra_10-15year_depth_0.0.png2021-02-15 11:25 347K 
[IMG]VT_CrossSpectra_angle_10-15year_slopes.png2021-02-19 10:28 3.2M 
[IMG]VT_CrossSpectra_decomposition_10-15year_100kmSlopeWidth_slopes.png2021-02-19 10:43 776K 
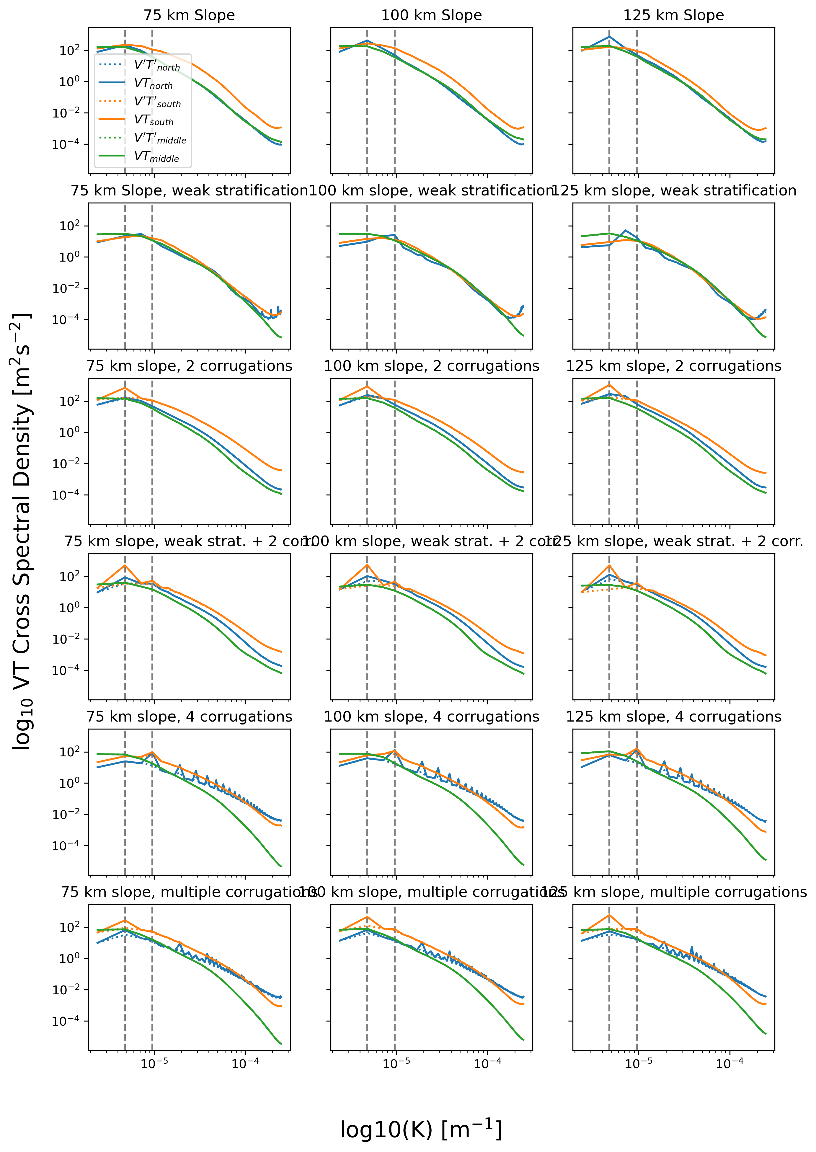
[IMG]VT_CrossSpectra_decomposition_10-15year_slopes.png2021-02-19 10:08 909K 
[IMG]V_Spectra_decomposition_10-15year_100kmSlopeWidth_slopes.png2021-02-19 10:36 1.0M 
[IMG]V_spectra_10-15year_depth_0.0.png2021-02-10 16:12 723K 
[IMG]V_spectra_10-15year_depth_100.0.png2021-02-10 16:12 729K 
[IMG]V_spectra_10-15year_depth_250.0.png2021-02-10 16:13 780K 
[IMG]V_spectra_10-15year_depth_500.0.png2021-02-10 16:13 650K 
[IMG]V_spectra_10-15year_depth_1000.0.png2021-02-10 16:14 605K 
[IMG]V_spectra_10-15year_depth_2000.0.png2021-02-10 16:14 585K 
[IMG]V_spectra_10-15year_depth_north.png2021-02-10 16:09 303K 
[IMG]V_spectra_10-15year_depth_south.png2021-02-10 16:09 312K 
[IMG]V_spectra_10-15year_surface.png2021-02-10 15:45 675K 
[IMG]V_spectra_decomposition_10-15year_slopes.png2021-02-19 09:48 1.4M 
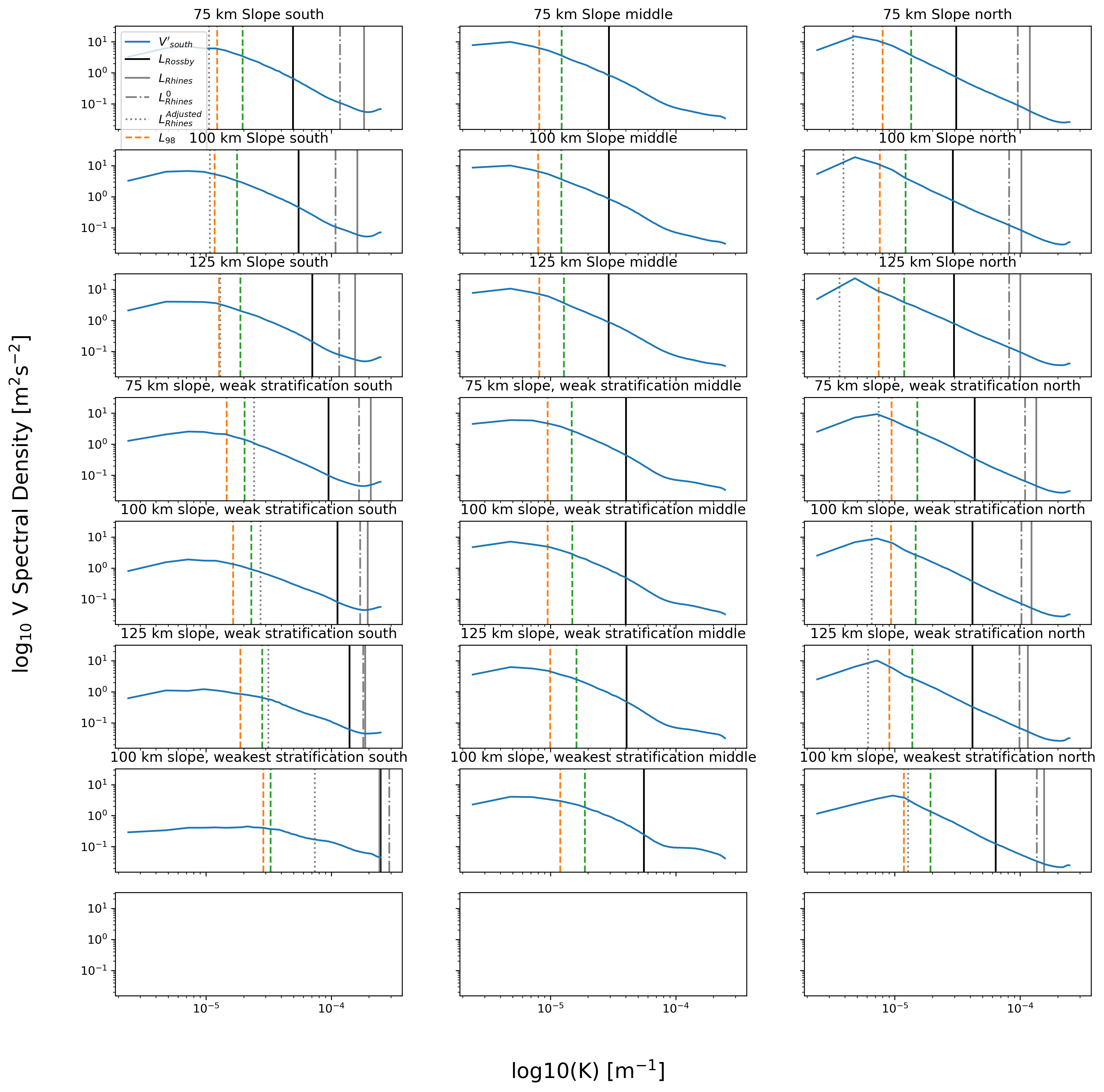
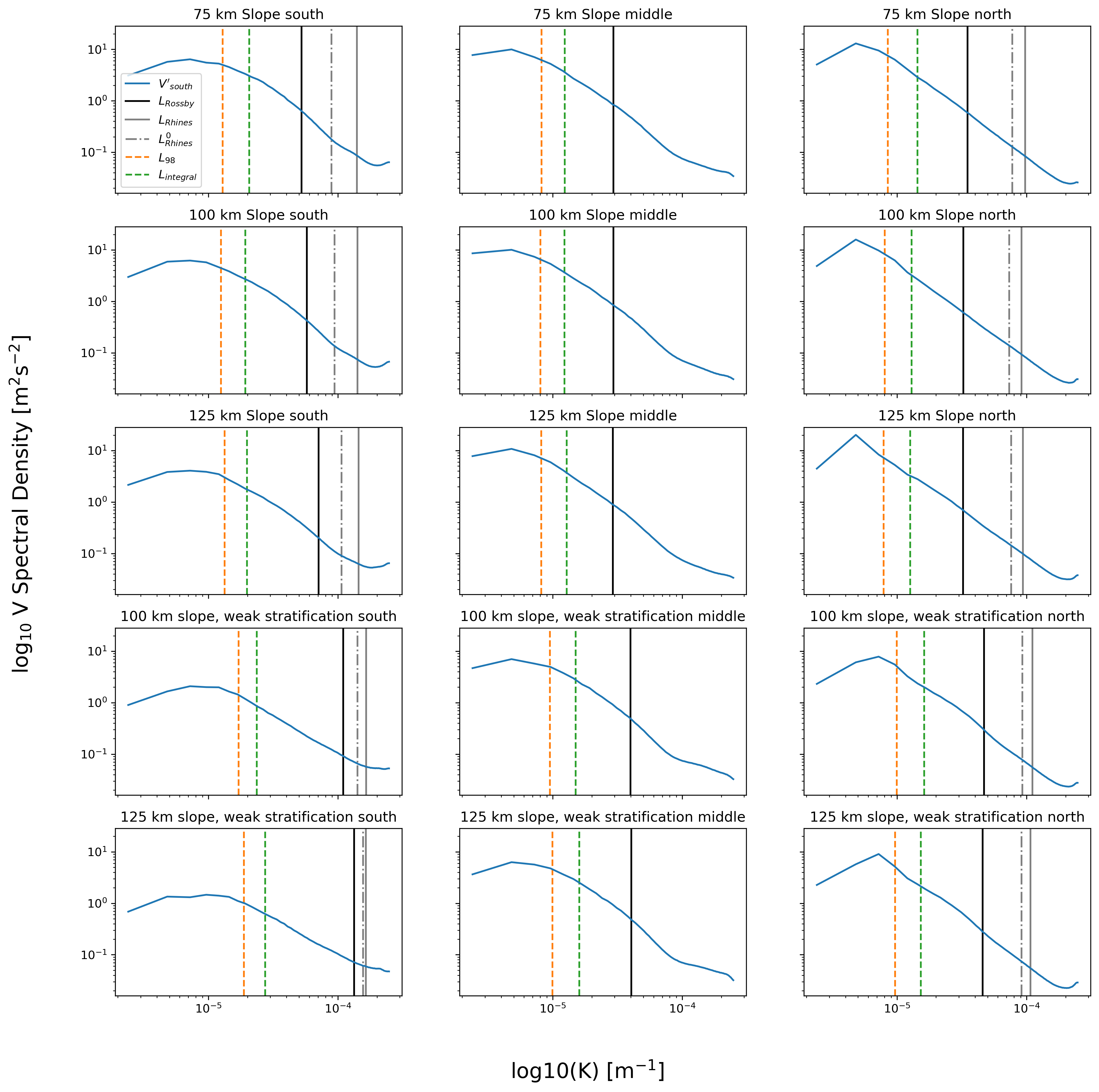
[IMG]VprimeSpectra_and_LengthScales_depth0.png2021-03-30 10:18 448K 
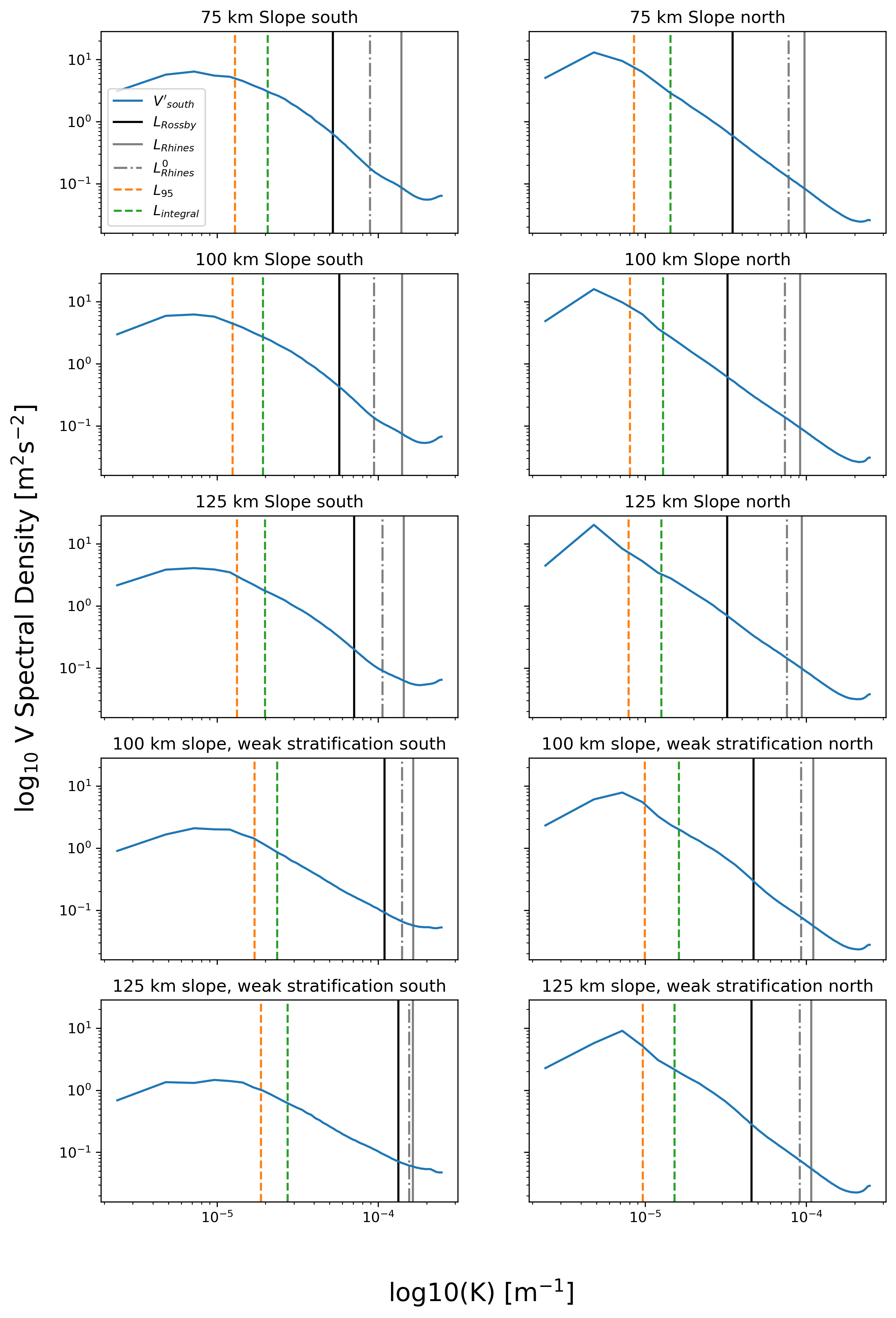
[IMG]VprimeSpectra_and_LengthScales_depth0_dy40.png2021-05-09 20:30 697K 
[IMG]VprimeSpectra_and_LengthScales_depth0_dy80.png2021-03-30 11:07 590K 
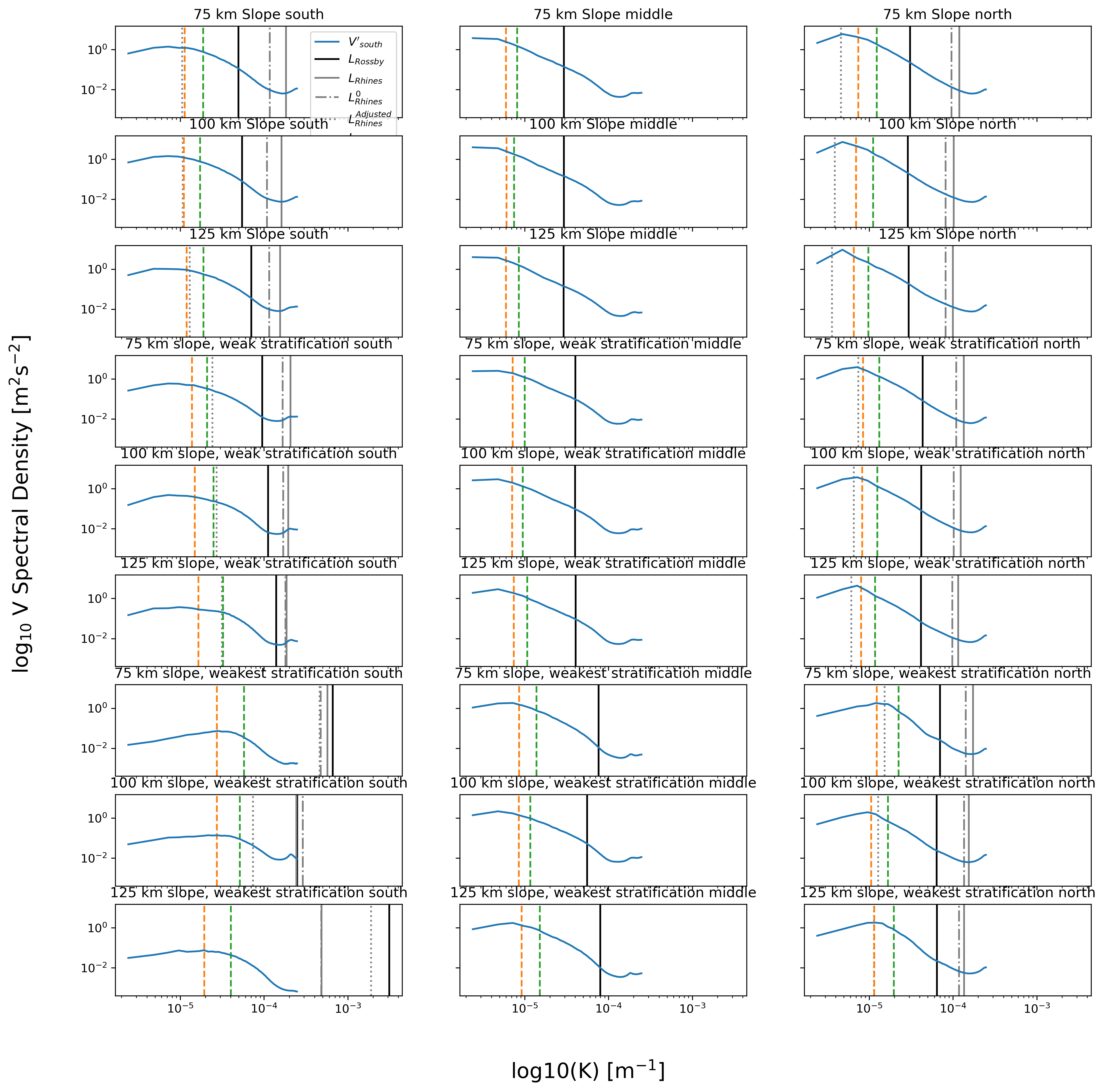
[IMG]VprimeSpectra_and_LengthScales_depthintegrated_dy40.png2021-06-28 13:01 703K 
[DIR]orig_2D/2020-06-12 14:08 -  
[DIR]orig_mid_slope/2020-06-12 14:12 -  
[DIR]scaled_mid_slope/2020-06-12 14:11 -  
[TXT]spectral.html2020-06-12 14:34 3.1K